一、单项选择题(共70题,每题1分。)
1、建设工程项目供货方的项目管理主要在()阶段进行。
A.施工
B.设计
C.决策
D.保修
【标准答案】A
【答案解析】本题考查的是供货方项目管理的目标和任务,供货方的项目管理工作主要在施工阶段进行,但它涉及涉及准备阶段、设计阶段、动用前准备阶段和保修期。参见教材P4.
2、建设项目总承包的核心意义在于()。
A.合同总价包干降低成本
B.总承包方负责“交钥匙”
C.设计与施工的责任明确
D.为项目建设增值
【标准答案】D
【答案解析】本题考查的是建设项目工程总承包的特点。建设项目工程总承包的主要意义并不在于总价包干,也不是“交钥匙“,其核心是通过设计与施工过程的组织集成,促进设计与施工的紧密结合,已达到为项目建设增值的目的,参见教材P6。
3.编制项目合同编码的基础是()。
A.项目合同文本和项目结构图
B.项目结构图和项目结构编码
C.项目结构编码和项目组织结构图
D.项目合同文本和项目组织结构图
【标准答案】B
【答案解析】本题考查的是项目结构的编码。项目结构的编码和用于投资控制、进度控制、质量控制、合同管理和信息管理等管理工作的编码有紧密的有机联系,但它们之间又有区别。项目结构图和项目结构的编码是编制上述其他编码的基础。参见教材P12.
4.项目管理任务分工表是()的一部分。
A.项目组织设计文件
B.项目结构分解
C.项目工作流程图
D.项目管理职能分工
【标准答案】A
【答案解析】本题考查的是施工管理的工作任务分工,每一个建设项目都应编制项目管理任务分工表,这是一个项目的组织设计文件的一部分,参见教材P18。
5、编制施工组织总设计涉及下列工作:①施工总平面图设计;②拟定施工方案;③编制施工总进度计划;④编制资源需求计划;⑤计算主要工种的工程量。正确的编制程序是( )。
A.⑤-①-②-③-④
B.①-⑤-②-③-④
C.①-②-③-④-⑤
D.⑤-②-③-④-①
【标准答案】D
【答案解析】本题考查的是施工组织总设计的编制程序。
117网校提醒 施工组织总设计的编制程序:
(1)收集和熟悉编制施工组织总设计所需的有关资料和图纸,进行项目特点和施工条件的调查研究;
(2)计算主要工种工程的工程量;
(3)确定施工的总体部署;
(4)拟定施工方案;
(5)编制施工总进度计划;
(6)编制资源需求量计划;
(7)编制施工准备工作计划;
(8)施工总平面图设计;
(9)计算主要技术经济指标。
参见教材P27
6.在项目目标动态控制的纠偏措施中,调整管理职能分工属于()。
A.组织措施
B.管理措施
C.经济措施
D.技术措施
【标准答案】A
【答案解析】本题考查的是项目目标动态控制的纠偏措施。组织措施,分析由于组织的原因而影响项目目标现实的问题,并采取相应的措施,如调整项目组织结构、任务分工、管理职能分工、工作流程组织和项目管理班子人员等。参加教材P29.
7、进度跟踪和控制报告是基于进度的()的定量化数据比较的成果。
A.预测值与计划值
B.计划值与十几张
C.实际值与预测值
D.计划值与定额标准值
【标准答案】B
【答案解析】本题考查的是运用动态控制方法在施工管理中的应用,进度的计划值和实际值的比较应是定量的数据比较,比较的成果是进度跟踪和控制报告。123建造师网温馨提示 参见教材P30。
8、根据《建设工程施工合同(示范文本)》(GF-2013-0201),项目经理确需离开施工现场时应取得()书面同意。
A.承包人
B.监理人
C.建设主管部门
D.发包人
【标准答案】B
【答案解析】本题考查的是施工项目经理的任务和责任。项目经理确需离开施工现场时,应事先通知监理人,并取得发包人的书面同意。参见教材P32.
9、建设工程施工合同(示范文本)》(GF-2013-0201),项目经理因特殊情况授权其下属人员履行某项工作职责时,应至少提前()天书面通知监理人。
A.5
B.7
C.14
D.28
【标准答案】B
【答案解析】本题考查的是施工项目经理的任务和责任。项目经理因特殊情况授权其下属人员履行其某项工作职责的,该下属人员应具备履行相应职责的能力,并应提前7天将上述人员的姓名和授权范围书面通知监理人,并征得发包人书面同意。参见教材P32。
10.某工程施工过程中,承包人未通知监理人检查,私自对某隐蔽部位进行了覆盖,监理人姿势承包人解开检查,经检查该隐蔽部位质量符合合同要求。根据《标准施工招标文件》,有次增加的费用和(或)工期延误应由( )承担。
A.发包人
B.监理人
C.承包人
D.分包人
【标准答案】C
【答案解析】承包人未通知监理人到场检查,私自将工程隐蔽部位覆盖的,监理人有权指示承包人钻孔探测或揭开检查,由此增加的费用和(或)延误的工期由承包人承担。参见教材P237。
11.根据《生产安全事故和调查处理条例》,符合施工生产安全事故报告要求的做法是( )。
A.任何情况下,事故现场有关人员必须逐级上报事故情况
B.重大事故和特别重大事故,需逐级上报至国务院建设主管部门
C.一般事故最高上报至省辖市人民政府建设主管部门
D.实行施工总承包的建设工程,由监理单位负责上报事故
【标准答案】B
【答案解析】选项A:情况紧急时,事故现场有关人员可以直接向事故发生地县级以上人民政府建设主管部门和有关部门报告;选项C:一般事故逐级上报至省、自治区、直辖市人民政府建设主管部门;选项D:实行施工总承包的建设工程,由总承包单位负责上报事故。参加教材P206
12、施工总承包管理模式下,如施工总承包管理单位想承接该工程部分工程的施工任务,则其取得施工任务的合理途径应为()。
A.监理单位委托
B.投标竞争
C.施工总承包人委托
D.自行分配
【标准答案】B
【答案解析】一般情况下,施工总承包管理方不承担施工任务,它主要进行施工的总体管理和协调。如果施工总承包管理方通过投标(在平等条件下竞标)获得一部分施工任务,则他也可参加施工。参见教材P5。
13、根据现行《建设工程安全生产管理条例》,工程监理单位应当查施工组织设计中的安全技术措施是否符合()。
A.建设工程承包合同
B.工程监理大纲
C.设计文件
D.工程建设强制性标准
【标准答案】D
【答案解析】《建设工程安全生产管理条例》第十四条:工程监理单位应当审查施工组织设计的安全技术措施或者专项施工方案是否符合工程建设强制性标准。参见教材P41。
14某工程因施工需要,需取得出入施工场地的临时道路的通行证,根据《标准施工招标文件》,该通行权应当由()。
A.人负责办理,并承担有关费用
B.承包人负责办理,发包人承担有关费用
C.发包人负责办理,并承担有关费用
D.包人负责办理,承包人承担有关费用
【标准答案】C
【答案解析】 除专用合同条款另有约定外,发包人应根据合同工程的施工需要,负责办理取得出入施工现场的专用和临时道路的通行权吗,以及取得为工程建设所需修建场外的权利,并承担有关费用。承保人应协助发包人办理上述手续参见教材P231。
15,某工程项目施工工期紧迫,楼面混凝土刚浇筑完毕即上人作业,造成混凝土表面不平并出席楼板裂缝,按事故责任分此质量事故属于()事故。
A.操作责任
B.社会责任
C.自然灾害
D.指导责任
【标准答案】D
【答案解析】指导责任事故:指由于工程指导或领导失误而造成的质量事故,例如片面追求施工进度,放松或不按质量标准进行控制和检验,降低质量标准等而造成的质量事故.参见教材171。
16、关于施工平行发承包模式下进行控制的说法,正确的是()。
A.需全部施工图完成后才能进行招标,对进度控制不利
B.业主用于平行发包的招标次数少,有利于进度控制
C.部分施工图完成后即可进行该部分的招标,有利于缩短建设周期
D.业主直接协调不同单位承包的工程进度,因此业主的进度控制风险小
【标准答案】C
【答案解析】本题考查的是施工平行发承包模式,选项A,某一部分施工图完成后,即可开始这部分工程的招标:选题B,由于进行多次招标名业主用于招标的时间较多:选项D,业主直接抓各个施工单位似乎控制力度大,但矛盾集中,业主的管理风险大,参见教材P217.
17.根据质量事故处理的一般程序,经事故调查及原因分析,则下一步应进行的工作是()。
A.制定事故处理方案
B.事故的责任处
C.事故处理的鉴定验收
D.提交处理报告
【标准答案】A
【答案解析】本题考查的是施工质量事故的处理程序。施工质量事故的处理程序:(1)事故调查;(2)事故的原因分析;(3)制订事故处理的方案;(4)事故处理;(5)事故处理的鉴定验收;123建造师网 (6)提交处理报告。参见教材P174.
18.施工定额的研究对象是同一性质的施工过程,这里的施工过程是指( )。
A.工序
B.分部工程
C.分项工程
D.整个建筑物
【标准答案】A
【答案解析】本题考查的是施工定额。施工定额是以同一性质的施工过程——工序,作为研究对象,是施工企业组织生产和加强管理在企业内部使用的一种定额。参见教材P68.
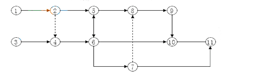
19、根据双代号网络图绘图规则,下列网络图中的绘图错误有()处。

A .5
B.4
C.3
D.2
【标准答案】B
【答案解析】本题考查的是双代号网络计划的绘图规则。错误:(1)有①③两个开始节点,(2)⑤⑥之间有双向箭头。(3)⑩?之间的连线无箭头;(4)无终点节点。参见教材P133。
20、根据《建设工程施工现场管理规定》,施工单位采取的防止环境污染的措施,正确的是()。
A.将有害废弃物用作土方回填
B.现场产生的废水经沉淀后直接排入城市排水设施
C.使用密封式圈桶处理高空废弃物
D.在现场露天焚烧油毡
【标准答案】C
【答案解析】本题考查的是环境保护的技术措施。本题根据排除法可选出正确答案,环境保护的技术措施:
(1)妥善处理泥浆水,未经处理不得直接排入城市排水设施和河流;
(2)除设有符合规定的装置外,不得在现场熔融沥青或者焚烧油毡、油漆以及其他会产生有毒有害烟尘和恶臭气体的物质;
(3)使用密闭式的圈筒或者采取其他措施处理高空废弃物;
(4)采取有效措施控制施工过程中的扬尘;
(5)禁止将有毒有害废弃物用作土方回填;
(6)对产生噪声、振动的施工机械,应采取有效控制措施,减轻噪声扰民。参见教材P27.
21.关于施工质量控制特点的说法,正确的是( )。
A.施工质量受到多种因素影响,因此要保证质量合格很难完全做到
B.施工生产不能进行标准化施工,因此各个工程质量有差异是难免的
C.施工质量主要依靠对工程实体的终检来判断是否合格
D.施工质量控制中,必须强调过程控制,及时做好检查、签证记录
【标准答案】D
【答案解析】本题考查的是施工质量控制的特点。施工质量控制的特点:
(1)需要控制的因素多;
(2)控制的难度大;
(3)过程控制要求高:施工质量具有一定的过程性和隐蔽性;在施工质量控制工作中,必须强调过程控制;
(4)终检局限大:工程项目建成以后不能像一般工业产品那样,可以依靠终检来判断和控制产品的质量;也不可能像工业产品那样将其拆卸或解体检查内在质量;工程项目的终检(竣工验收)只能从表面进行检查。
22、某工程由于图纸、规范等准备不充分,招标方仅能制定一个估算指标,则在招标时宜采用成本加酬金合同形式中的()。
A.成本加固定费用合同
B.成本加固定比例费用合同
C.最大成本加费用合同
D.成本加奖金合同
【标准答案】D
【答案解析】本题考查的是成本加酬金合同的形式,成本加奖金合同,在招标时,当图纸、规范等准备不充分,不能据以确定合同价格,而仅能制定一个估算指标时可采用这种形式。117网校温馨提示 参见教材P255.
23、编制某施工机械台班使用定额,测定改机械纯工作1小时的生产率为6m3,机械利用系数平均为80%,工作班延续时间为8小时,则该机械的台班产量定额为()m3。
A.64
B.60
C. 48
D.38
【标准答案】D
【答案解析】本题考查的是施工机械台班使用定额的编制,施工机械台班产量定额=机械净工作生产率×工作班延续时间×机械利用系数=6×8×80%=38.4 m3参见教材P78.
24.对施工成本偏差进行分析的目的是为了有针对性的采取纠偏措施,而纠偏首先要做的工作是( )。
A.分析偏差产生的原因
B.确定纠偏的主要对象
C.采取适当的技术措施
D.采取有针对性的经济措施
【标准答案】A
【答案解析】 本题考查的是偏差原因分析与纠偏措施。偏差分析的一个重要目的就是要找出引起偏差的原因,从而采取有针对性的措施,减少或避免相同问题的再次发生。在进行偏差原因分析时,首先应当将已经导致和可能导致偏差的各种原因逐一列举出来。导致不同工程项目产生费用偏差的原因具有一定共性,因而可以通过对已建项目的费用偏差原因进行归纳、总结,为该项目采取预防措施提供依据。参见教材P116.
25、下列施工质量保证体系的内容中,属于工作保证体系的是()。
A.建立质量检测制度
B.明确施工质量目标
C.树立“质量第一”的观点
D.建立质量管理组织
【标准答案】A
【答案解析】本题考查的是施工质量保证体系的内容。工作保证体系主要是明确工作任务和建立工作制度。参与教材P154.
26.下列施工现场文明施工措施中,正确的是()。
A.现场施工人员均佩戴胸卡,按工种统一编号管理
B.市区主要路段设置围挡的高度不低于2m
C.项目经理任命专人为现场文明施工第一责任人
D.建筑垃圾和生活垃圾集中一起堆放,并及时清运
【标准答案】A
【答案解析】本题考查的是施工现场文明施工的要求。选项B应不低于2.5m;选项C应确立项目经理为现场文明施工的第一责任人;选项D建筑垃圾和生活垃圾不能集中一起堆放。参见教材P210-P212.
27、根据《建设工程工程量清单计价规范》(GB 50500-2013),关于工程项目合同类型选择的说法,正确的是()。
A.对使用工程量清单计价的工程,必须采用单价合同,不适用于总价合同
B.采用单价合同时,工程量清单可以不作为合同的组成部分
C.采用总价合同时,工程量清单中的工程量不具备合同约束力
D.对使用工程量清单计价的工程,宜采用单价合同,但并不排斥总价合同
【标准答案】D
【答案解析】 本题考查的是工程合同类型的选择。《建设工程工程量清单计价规范》中规定,对使用工程量清单计价的工程,宜采用单价合同,但并不排斥合同。参见教材P78.
28.施工企业职业健康安全管理体系的运行及维持活动中,应由( )对管理体系进行系统评价。
A.施工企业技术负责人
B.施工企业安全部门负责人
C.项目经理
D.施工企业的最高管理者
【标准答案】D
【答案解析】本题考查的是职业健康安全管理体系与环境管理体系的运行。管理评审是由施工企业的最高管理者对管理体系的系统评价,判断企业的管理体系面对全部情况的变化和外部环境是否充分适应有效,由此决定是否对管理体系做出调整,包括方针、目标、机构和程序等。参见教材P190.
29、某工程施工过程中,为了纠正出现的进度偏差,承包人采取了夜间加班和增加劳动力投入措施,该措施属于纠偏措施中的()。
A.技术措施
B.组织措施
C.经济措施
D.合同措施
【标准答案】B
【答案解析】本题考查的是合同实施偏差处理。组织措施,如增加人员投放入,调整人员安排,调整工作流程和工作计划等。参与教材P256.
30.设计进度计划主要是确定各设计阶段的()。
A.专业协调计划
B.设计工作量计划
C.设计人员配置计划
D.出图计划
【标准答案】D
【答案解析】本题考查的是进度控制的任务。在国际上,设计进度计划主要是确定各设计阶段的设计图纸(包括有关的说明)的出图计划,在出图计划中标明每张图纸的出图日期。参见教材P125.
31、根据施工项目相关的信息管理工作要求,项目施工进度计划表属于()。
A.公共信息
B.项目管理信息
C.工作总体信息
D.施工信息
【标准答案】B
【答案解析】本题考查的是施工项目相关的信息管理工作。项目进度控制信息包括:施工进度计划表、资源计划表、资源表、完成工作分析表等。项目进度控制信息属于项目管理信息。参见教材P267。
32.关于利用时间一成本累积曲线编制施工成本计划的说法,正确的是()。
A.所有工作都按最迟开始时间,对节约资金不利
B.所有工作都按最早开始时间,对节约资金有利
C.项目经理通过调整关键工作的最早开始时间,将成本控制在计划范围之内
D.所有工作都按最迟开始时间,降低了项目按期竣工的保证率
【标准答案】D
【答案解析】本题考查的是按工程进度编制施工成本计划的方法。一般而言,所有工作都按最迟开始时间,对节约资金贷款利息是有利的,但同时,也降低了项目按期竣工的保证率。参见教材P109.
33、下列施工承包合同计价方式中,在不发生重大工程变更的情况下,有承包商承担全部工程量和价格风险的合同计价方式是()。
A.单价合同
B.变动总价合同
C.成本加酬金合同
D.固定总价合同
【标准答案】D
【答案解析】本题考查的是固定总价合同。固定总价合同的价格计算是以图纸及规定、规范为基础,工程任务和内容明确,业主的要求和条件清楚,合同总价一次包死,固定不变,即不再因为环境的变化和工程量的增减而变化。在这类合同中承包商承担了全部的工程量和价格的风险。123建造师网 参见教材P251.
34.施工进度控制的主要工作环节包括:①编制资源需求计划;②编制施工进度计划;③组织进度计划的实施;④施工进度计划的检查与调整。其正确的工作程序是()。
A.①—②—③—④
B.②—①—③—④
C.②—①—④—③
D.①—③—②—④
【标准答案】B
【答案解析】本题考查的是施工进度控制的任务。施工方进度控制的主要工作环节包括:编制施工进度计划及相关的资源需求计划;组织施工进度计划的实施;施工进度计划的检查与调整。参见教材P144.
35、某施工企业采购一批材料,出厂价3000元/吨,运杂费是材料采购价的5%,运输材料的损耗率为1%,保管费为2%,则该批材料的单价应为()元/吨。
A.3245.13
B.3244.50
C.3150.00
D. 3150.00
【标准答案】A
【答案解析】本题考查的是各费用构成要素计算方法。材料单价={(材料原价+杂运费)×﹝1+运输员耗率﹞}×(1+采购保管费率)=3000×(1+5%) ×(1+1%)×(1+2%)=3245.13(元/吨)。参见教材P53.
36、根据《标准施工招标文件》,对于承包人向发包人的索赔请求,其索赔意向书应交由()审核。
A.业主
B.设计人
C.项目经理
D.监理人
【标准答案】D
【答案解析】本题考查的是施工合同索赔的程序,承包人应在知道或应当知道索赔事件发生后28天内,向监理人递交索赔意向通知书,并说明发生索赔事件的事由。参见教材P261.
37、关于项目施工质量目标的说法,正确的是()。
A.项目施工质量总目标应符合行业质量最高目标要求
B.项目施工质量总目标应逐级分解以形成在合同环境下的各级质量目标
C.项目施工质量总模板要以相关标准规范为基本依据
D.项目施工质量总目标的分解仅需从空间角度立体展开
【标准答案】B
【答案解析】本题考查的是施工质量保证体系的内容。项目施工质量目标,要以工程承包合同为基本依据,逐级分级目标以形成在合同环境下的各级质量目标。 参见教材P153-154.
38、工程施工过程中索赔事件发生以后,承包人首先要做的工作是()。
A.向监理工程师提出索赔意向通知
B.想监理工程师提交索赔依据
C.向监理工程师提交索赔报告
D.与业主就索赔事项进行谈判
【标准答案】A
【答案解析】本题考查的是索赔意向通知和索赔通知。发生索赔事件以后,或者承包人发现索赔机会,首先要提出索赔意向。参考教材P262.
39.发包人对工程质量有异议,拒绝办理竣工决算,但该工程已实际投入使用,起质量争议的解决方法是( ).
A.按工程保修合同执行
B.就争议部分根据有资质的鉴定机构的检测结果确定方案
C.按工程质量监督机构的处理决定执行后办理竣工结算
D.采取诉讼的方式解决
【标准答案】A
【答案解析】发包人对工程质量有异议,已竣工验收货已竣工未验收但实际投入使用的工程没,其质量争议按该工程保修合同执行,123建造师网。
40.根据《生产安全事故报告和调查处理条例》,生产安全事故报告和调查处理过程中,由监察机关对有关责任人员依法给予处分的违法行为是( )。
A.迟报或漏报事故
B.销毁有关证据
C.拒绝落实对事故责任人的处理意见
D.指使他人作伪证
【标准答案】C
【答案解析】本题考查的是施工生产安全事故的处理。有关地方政府或者有关部门故意拖延或者拒绝落实经批复的对事故责任人的处理意见的,由监察机关对有关责任人员依法给予处分。参见教材P210.
41.根据现行《建设工程安全生产管理条例》,工程监理单位发现存在安全事故隐患情况严重的,应当要求施工单位暂时停止施工,并及时报告( ).
A.工程总承包单位
B.建设主管部门
C.质量监督站
D.建设单位
【标准答案】D
【答案解析】本题考查的是工程监理的工作任务。工程监理单位在实施监理过程中,发现存在安全事故隐患的,应当要求施工单位整改;情况严重的,应当要求施工单位暂时停止施工,并及时报告建设单位。参见教材P41.
42.施工成本的过程控制中,对于人工费和材料费都可以才赢控制方法是( )。
A.量价分离
B.包干控制
C.预算控制
D.跟踪检查
【标准答案】A
【答案解析】本题考查的是施工成本的过程控制方法。人工费的控制实行“量价分离”的方法;材料费控制同样按照“量价分离”原则,控制材料用量和材料价格。参见教材P114。
43.下列施工现场环境污染的处理措施中,正确的是()。
A.固体废弃物必须单独储存
B.电气焊必须在工作面设置光屏障
C.存放油料库的地面和高250mm墙面必须进行防渗处理
D.在人口密集区进行较强噪声施工时,一般避开晚12:00至次日早6:00时段
【标准答案】C
【答案解析】本题考查的是施工现场环境污染的处理。施工现场存放油料、化学溶剂等设有专门的库房,必须对库房地面和高250mm墙面进行防渗处理。参见教材P215。
44.根据《建设工程工程量清单计价规范》(GB50500-2013),关于投标人采用定额组价方法编制综合单价的说法,正确的是()。
A.清单工程量可以直接用于计价,因为与定额子母的工程量肯定相等
B.人、料、机的消耗量根据政府颁发的消耗量定额确定,一般不能调整
C.一个清单项目可能对应多个定额子目
D.人、料、机的单价按照市场价格确定,一般不能调整
【标准答案】C
【答案解析】本题考查的是工程量清单计价的方法。一个清单项目可能对应几个定额子目,因此,清单工程量不能直接用于计价;人工单价、材料价格和施工机械台班单价,应根据工程项目的具体情况及市场资源的供求状况进行确定,采用市场价格作为参考。参见教材P61。
45.根据《建设工程质量管理条例》工程项目主要分部工程在政府监督机构监督验收合格后,建设单位应将质量验收证明文件报送工程质量监督机构备案的时限是()天。
A.14
B.7
C.5
D.3
【标准答案】D
【答案解析】本题考查的是施工过程的质量监督。建设单位应将施工、设计、监理和建设单位各方分别签字的质量验收证明在验收后3天内报送工程质量监督机构备案。参考教材P179。
46.在影响施工质量的五大因素中,建设主管部门推广的高性能混凝土技术,属于()的因素。
A.方法
B.环境
C.材料
D.机械
【标准答案】A
【答案解析】本题考查的是影响施工质量的主要因素。高性能混凝土技术属于建设主管部门在建筑业中推广应用的10项新的应用技术之一,这属于方法的因素。参见教材P151.
47.建设工程项目的实施性施工进度计划是指()。
A.月度施工计划和旬施工作业计划
B.季度施工计划和月度施工计划
C.单位工程施工计划和月度施工计划
D.季度施工计划和单位工程施工计划
【标准答案】A
【答案解析】本题考查的是实施性施工进度计划。月度施工计划和旬施工作业计划是用于直接组织施工作业的计划,它是实施性施工进度计划。参见教材P129.
48.根据《建筑法》,建筑施工企业可以自主决定是否投保的险种是()。
A.基本医疗保险
B.工伤保险
C.意外伤害保险
D.失业保险
【标准答案】C
【答案解析】本题考查的是规费。选项ABD是企业按照规定标准为职工缴纳的保险费。参见教材P51。
49.施工项目成本分析的基础是()成本分析。
A.工序
B.分部分项
C.单项工程
D.单位工程
【标准答案】B
【答案解析】本题考查的是施工成本分析的方法。分部分项工程成本分析是施工项目成本分析的基础。参见教材P120.
50下列质量控制点的重点控制对象中,属于施工技术参数类的是()。
A.水泥的安全性
B.预应力钢筋的张拉
C.砌体砂浆的饱满度
D.混凝土浇筑后的拆模时间
【标准答案】C
【答案解析】本题考查的是特殊过程的质量控制。施工技术参数包括:混凝土的外加剂掺量、水灰比、回填土的含水量、砌体砂浆饱满度,防水混凝土抗渗等级、钢筋混凝土结构的实体检测结果及混凝土冬期施工受冻临界强度等技术参数。参见教材P166.
51.关于施工形象进度、产值统计、实际成本三者关系的说法,正确的是()。
A.施工形象进度与产值统计所依据的工程量是相同的,但与实际成本计算依据的工程量不同
B.施工形象进度、产值统计、实际成本所依据的工程量应是相同的数值
C.施工形象进度、产值统计、实际成本所依据的工程量都是互不相同的
D.产值统计与实际成本所依据的工程量是相同的,但不同于形象进度计算所依据的工作量
【标准答案】B
【答案解析】本题考查的是施工成本管理的任务。形象进度、产值统计、实际成本归集三同步,即三者的取值范围应是一致的。参见教材P104.
52.某单代号网络计划如下图所示(时间单位:天),工作5的最迟完成时间是()。
A.10
B.9
C.8
D.7
【标准答案】C
【答案解析】本题考查的事单代号网络计划。工作的最迟完成时间等于该工作的最早完成时间与其总时差之后。参见教材P140.
53.工程项目的施工总进度计划属于()。
A.项目的施工总进度方案
B.项目的指导性施工进度计划
C.项目的控制性施工进度计划
D.项目施工的年度施工计划
【标准答案】C
【答案标注】本题考查的事控制性施工进度计划的作用。控制性施工进度计划:(1)施工总进度规划;(2)施工总进度计划。参见教材P127.
54.下列风险控制方法中,适用于第一类风险源控制的是()。
A.提高各类设施的可靠性
B.设置安全监控系统
C.隔离危险物质
D.加强员工的安全意识教育
【标准答案】C
【答案解析】本题考查的事风险的控制。第一类风险源控制方法:可以采取消除危险源、限制能量和隔离危险物质、个体防护、应急救援等方法。参见教材201.
55 下列现场质量检查的方法中,属于目测法的是()
A利用全站仪复查轴线偏差
B利用酚酞液观察混凝土表面碳化
C利用磁场磁粉探查焊缝缺陷
D利用小锤检查面砖铺贴质量
【标准答案】D
【答案解析】:本题考查的是施工质量控制的一般方法。目测法:即凭借感官进行检查,也称观感质量检验。其手段可概括为“看、摸、敲、照”四个字。参见教材P159。
56 下列与项目质量管理有关的费用中,属于外部质量保证成本的是()
A一般材料进场抽检
B拆模对混凝土试块进行强度检测
C聘请第三方检测机构对玻璃幕墙进行强度检测
D拆除不合格砖墙进行强度检测
【标准答案】D
【答案解析】:本题考查的质量保证成本。
57 根据《标准施工招标文件》,施工合同履行过程中发生过程变更时,由()向承包人发出变更指令。
A监理人
B业主
C设计人
D变更提出方
【标准答案】A
【答案解析】:本题考查的是变更程序。根据九部委《标准施工招标文件》中通用合同条款的规定,变更指示只能由监理人发出。参见教材P259。
58 施工企业执业健康安全管理体系的纲领性文件是()
A作业文件
B管理手册
C程序文件
D监测活动准则
【标准答案】B
【答案解析】:本题考察的是职业健康安全管理体系与环境体系的建立。管理手册是对施工企业整个管理体系的整体性描述,为体系的进一步展开以及后续程序文件的制定提供了框架要求和原则规定,是管理体系的纲领性文件。参见教材P189。
59 根据《建设工程施工劳务分包合同(示范文本),某工程承包人租赁一台起重机提供给劳务分包人使用,则该起重机的保险就由()
A工程承包人办理并支付保险费用
B劳务分包人办理并支付保险费用
C工程承包人办理,但由劳务分包人支付保险费用
D劳务分包人办理,但由承包人支付保险费用
【标准答案】:A
【答案解析】:本题考查的是施工劳务分包合同的内容。工程承包人必须为租赁或提供给劳务分包人使用的施工机械设备办理保险,并支付保险费用。参见教材P245。
60 根据〈建设工程工程量清单计价规范〉(GB50500-2013),某工程签订了单价合同,在执行过程中,某分项工程原清单工程量为1000m3,综合单价为25元/m3,后因业主方原因实际工程量变更为1500m3,合同中约定:若实际工程量超过计划工程量15%以上,超过部分综合单价调整为原来的0.9。不考虑其他因素,则该分项工程结算款应为()元。
A36625
B35000
C33750
D32875
【标准答案】A
本题考查的是分部分项工程费的调整。该分项工程的结算款=1000*(1+15%)*25+[1500-1000*(1+15%)]*25*0.9=36625元。参见教材P86。
61 某双代号网络计划如下图所示(时间单位:天),其关键线路有()条。

A4
B3
C2
D1
【标准答案】C
【答案解析】:本题考查的是关键线路和关键工作。关键线路1-2-4-5-6-8-9;1-2-3-5-6-8-9。参见教材P145。
62 下列政府质量监督职能中,属于对建设参与各方主体质量行为监督的是()
A监督检查主体结构的施工质量
B监督工程竣工验收的组织形式
C监督验收工程中形成的质量验收文件是否符合有关规定
D检查工程实体检测报告是否齐全
【标准答案】C
【答案解析】:本题考查的是政府质量监督的职能。监督检查施工现场工程建设参与各方主体的质量行为:检查施工现场参与工程建设各方主体及有关人员的资质或资格;检查勘察、设计、施工、监理单位的质量管理体系和质量责任落实情况;检查有关质量文件、技术资料是否齐全并符合规定。参见教材P178-179。
63 某工程采用单价合同,施工过程中承包人向发包人提交了已完工程量报告,发包人决定进行工程计量,下列计量结果有效的是()
A发包人在计量前24小时通知承包人,但计量时承包人没有在场
B发包人在没有通知承包人的情况下到现场计量
C发包人没有在预定的时间去现场计量,而是在方便的时候进行计量
D发包人单独对承包人返工重做的分项工程计量
【标准答案】A
【答案解析】:本题考察的是单价合同的计量。发包人认为需要进行现场计量核实时,应在计量前24小时通知承包人。承包人收到通知后不派人参加计量,视为认可发包人的计量核实结果。参见教材P80。
64 某单代号网络计划如下图所示(时间单位:天),其计算工期是()天

A15
B12
C11
D10
【标准答案】A
【答案解析】:本题考查的是单代号网络计划。计算工期等于网络计划的终点节点的最早完成时间。参见教材P141。
65 下列施工质量控制的工作中,属于事前质量控制的是()
A分析可能导致质量问题的因素并制定预防措施
B隐蔽工程的检查
C工程质量事故的处理
D进场材料抽样检验或试验
【标准答案】A
【答案解析】:本题考查的是施工质量控制的基本环节。事前质量控制即在正式施工前进行的事前主动质量控制,通过编制施工质量计划,明确质量目标,制定施工方案,设置质量管理点,落实质量责任,分析可能导致质量目标偏离的各种影响因素,针对这些影响因素制定有效的预防措施,防患于未然。参见教材P157。
66 下列施工进度控制措施中,属于管理措施的是()
A编制进度控制工作流程
B重视信息技术的应用
C优选施工方案
D进行进度控制的会计组织设计
【标准答案】B
【答案解析】:本题考查的是施工方进度控制的管理措施。选项A、D属于组织措施;选项C属于技术措施。参见教材P148。
67 某工程双代号时标网络计划如下图所示,则工作B的自由时差和总时差()

A分别为2周和4周
B均为2周
C均为4周
D分别为3周和4周
【标准答案】A
【答案解析】:本题考查的是双代号时标网络计划。由图可直接看出工作B的自由时差为2周;工作B所在的最长线路为BEH,工作为2+4+4=10周,而总工期=14周,则工作B的总时差=14-10=4周。参见教材P142。
68 某施工承包合同采用单价合同,在签约时双方根据估算的工程量约定了一合同总价。在实际结算时,合同总价与合同各项单位乘以实际完成工程量之和不一致,则价款结算应以()为准。
A 签订的合同总价
B 合同中的各项单价乘以实际完成的工程量之和
C 双方重新协商确定的单价和工程量
D实际完成的工程量乘以重新协商的各项单价之和
【标准答案】B
【答案解析】:本题考查的是单价合同。当合同总价与各项单价乘以实际完成的工程量之和发生矛盾时,则肯定以后者为准,即单价优先。实际工程款的支付也将以实际完成任务成工程量乘以合同单价进行计算。参见教材P251。
69 根据《建设工程项目管理规范》(GF/T50326-2006)的条文说明中所列风险等级,某工程的风险评估值为5,则表明该工程()
A发生风险可能性很大,后果为轻度损失
B发生风险可能性很大,后果为重大损失
C发生风险可能性中等,后果为中度损失
D发生风险可能性中等,后果为重大损失
【标准答案】B
【答案解析】:本题考查的是风险等级。风险评估值为5表示的是:发生可能性很大,风险后果为重大损失。参见教材P37。
70 根据《建设工程工程量清单计价规范》(GB50500-2013)分包人进安全文明施工费预计的时间和金额分别为()
A预付时间为工程开工后42天内,金额不低于当年施工进度计划的安全文明施工费总额的60%
B预付时间为工程开工后42天内,金额不低于当年施工进度计划的安全文明施工费总额的50%
C预付时间为工程开工后28内,金额不低于当年施工进度计划的安全文明施工费总额的60%
【标准答案】C
【答案解析】:本题考查的是安全文明施工费。发包人应在工程开工后的28天内预付不低于当年施工进度计划的安全文明施工费总额的60%。参见教材P96。
71 关于赢得值及其曲线的说法,正确的有()
A最理想状态是已完工实际费用,计划工作预算费用和已完工作预算费用三条曲线靠得很近并平稳上升
B进度偏差是相对值指标,相对值越大的项目,表明偏离程度越严重
C如果已完工作实际费用,计划工作预算费用和已完工作预算费用三条曲线离散度不断增加,则预示着可能发生关系到项目成败的重大问题
D在费用、进度控制中引入赢得值可以克服将费用、进度分开控制的缺点
E同一项项目采用费用偏差和费用绩效指数进行分析,结论是一致的
【标准答案】ACDE
【答案解析】:本题考查的是赢得值(挣值法)。选项B:进度偏差反映的是绝对偏差。参见教材P116。
72承包商可以提出索赔的事件有()
A发包人违反合同给承包人造成时间、费用的损失
B因工程变更造成的时间、费用损失
C发包人提出提前竣工而造成承包人的费用增加
D货款利率上调造成贷款利息增加
E发包人延误支付期限造成承包人的损失
【标准答案】ABCE
【答案解析】:本题考查的是索赔成立的条件。选项D不属于可以提出索赔的事件。参见教材P261-262。
73 某工程按月编制的成本计划如下图所示,若6月、7月实际完成的成本为700万和1000万元,其余月份的实际成本与计划相同,则关于成本偏差的说法,正确的有()

A第7个月末的计划成本累计值为3500万元
B第6个月末的实际成本累计值为2550万元
C第6个月末的计划成本累计值为2650万元
D若绘制S型曲线,全部工作必须按照最早开工时间计划
E第7个月末的实际成本累计值为3550万元
【标准答案】BCE
【答案解析】:本题考查的是施工成本计划。选项A:第7个月末的计划成本累计值为3600;选项D:S形曲线包络在由全部工作都按最早开始时间开始和全部工作都按最迟必须开始时间的曲线组成的香蕉图中。参见教材P110。
74 根据九部委《标准施工招标文件》中”通用合同条款“,变更指示,应说明变更的()
A目的
B范围
C变更内容
D变更的工程量及其进度和技术需求
E变更程度
【标准答案】ABCD
【答案解析】:本题考查的是变更程序。变更指示应说明变更的目的,范围,变更内容以及变更的工程量及其进度和技术要求。参见教材P259。
75 在项目实施阶段,项目总进度计划包括()
A招标工作进度
B保修工作进度
C设计工作进度
D工程施工进度
E物资采购工作进度
【标准答案】CDE
【答案解析】 :本题考查的是进度控制任务。业主方进度控制的任务是控制整个项目实施阶段的进度,包括:控制设计准备阶段的工作进度,设计工作进度,施工进度,物资采购工作进度以及项目运用前准备阶段的工作进度。参见教材P126。
76 生产安全事故报告和调查处理过程中,对事故发生单位处100万元以上500万元以下罚款的情形有()
A不立即组织事故抢救
B销毁有关证据
C迟报或漏报事故
D指使他人作伪证
E故意破坏事故现场
【标准答案】BDE
【答案解析】:本题考查的是蝣 工生产安全事故的处理。对事故发生单位处100万以上500万以下的罚款的违法行为有:(1)谎报或者瞒报事故;(2)伪造或者故意破坏事故现场;(3)转移、隐匿资金、财产,或者销毁有关证据、资料;(4)拒绝接受调查或者拒绝提供有关情况和资料;(5)在事故调查中作伪证或者指使他人作伪证;(6)事故发生后逃匿。参见教材P209。
77 施工进度计划的调整内容有()
A合同工期目标的调整
B工程量的调整
C工作起止时间的调整
D工作关系的调整
E资源提供条件的调整
【标准答案】BCDE
【答案解析】:本题考查的是施工进度计划的检查与调整。施工进度计划的调整内容有:工程量的调整,工作(工序)起止时间的调整,工作关系的调整,资源提供条件的调整,必要目标的调整。参见教材P146。
78 影响施工现场周围性材料消耗的主要因素有()
A第一次制造时的材料消耗量
B每周转使用一次材料的损耗
C周转使用次数
D周转材料的最终回收及其回收折价
E材料的测算方法
【标准答案】ABCD
【答案解析】:本题考查的是周转性材料消耗定额的编制。周转性材料消耗一般与以下因素有关:(1)第一次制造时的材料消耗量;(2)每周转使用一次材料的损耗;(3)周转使用次数;(4)周转材料的最终回收及其回收折价。参见教材P75。
79 下列建设工程施工资料中,属于工程质量控制资料的有()
A见证检测报告
B施工组织设计
C交接检查记录
D施工测量放线报验表
E检验质量验收记录
【标准答案】AC
【答案解析】 本题考查的是施工文件档案管理的主要内容。工程质量控制资料:工程项目原材料、构配件、成品、半成品和设备的出厂合格证及进场检验报告、施工试验记录和见证检测报告、隐蔽工程验收记录文件、交接检查记录。参见教材P277。
80 建设工程项目实施性施工计划的主要作用有()
A确定试工作业的具体安排
B确定计划期内人、机、米的需求
C确定控制性进度计划的关键指标
D确定里程碑计划节点
E确定计划期内的资金需求
【标准答案】ABE
【答案解析】:本题考查的是实施性施工进度计划的作用。实施性施工进度计划的主要作用有:(1)确定施工作业的具体安排;(2)确定一个月度或旬的人工需求(3)确定一个月度或旬的施工机械需求(4)确定一个月度或旬的建筑材料需求(5)确定一个月度或旬的资金需求。参见教材P129.
81 下列导致施工质量事故发生的原因中,属于施工失误的有()
A使用不合格的工程材料
B试工人员不具备上岗的技术资质
C边勘察、边设计、边施工
D勘察报告不准、不细
E施工管理混乱
【标准答案】:BE
【答案解析】:本题考查的是施工质量事故发生的原因。施工的失误:缺乏基本业务知识,不具备上岗的技术资质,不懂装懂瞎指挥,胡乱施工盲干;施工管理混乱,施工组织、施工工艺技术措施不当;不按图纸施工,不遵守相关规范,违章作业;使用不合格的工程材料、半成品、构配件;忽视安全施工,发生安全事故等,所有这一切都可能引发施工质量事故。参见教材P172。
82 在最大成本加费用合同中,投标人所报的固定酬金中应包括的费用有()。
A管理费
B临时设施费
C暂定金额
D利润
E风险费
【标准答案】ADE
【答案解析】:本题考查的是成本加酬金的形式。最大成本加费用合同:在工程成本总价基础上加酬金费用的方式,即当设计深度达到可以报总价的深度,投标人报一个工程成本总价和一个固定的酬金(包括各项管理费、风险费和利润)。参见教材P254。
83 根据《建设工程施工合同(示范文本)(GT-2013-0201)》施工合同签订后,承包人应向发包人提交的关于项目经理的有效证明文件包括()
A劳动合同
B缴纳社保证明
C身份证
D职称证收
E注册执业证书
【标准答案】AB
【答案解析】:本题考查的是施工项目监理的任务和责任。项目经理应是承包人正式聘用的员工,承包人应向发包人提交项目经理与承包人之间的劳动合同,以及承包人为项目经理缴纳社会保险的有效证明。参见教材P32。
84 试工企业环境管理体系文件中,属于作业文件的有()
A监测活动规则
B管理手册
C程序文件
D操作规程
E管理规定
【标准答案】ADE
【答案解析】:本题考查的是职业健康安全管理体系与环境管理体系的建立。作业文件是指管理手册、程序文件、监测活动准则及程序文件引用的表格。参见教材P188。
85 根据《建设工程项目管理规范》(GB/T50326-2006),关于项目经理权限的说法正确的有()。
A参与制订内部计酬办法
B参与项目招标、投标和合同签订
C参与组建项目经理部
D参与选择工程分包人
E参与选择物资供应单位
【标准答案】BCDE
【答案解析】:本题考查的是项目经理的权限。选项A,正确的表述应是“制定内部计酬办法”。参见教材P35。
86 某施工单位采用下图所示的组织结构模式,则关于该组织结构的说法,正确的有()
A技术部可以对甲、乙、丙、丁直接下达指令
B工程部不可以对甲、乙、丙、丁直接下达指令
C甲工作涉及的指令源有2个,即项目部1和技术部
D该组织结构属于矩阵式
E当乙工作来自项目部2和合同部的指令矛盾时,必须以合同部的指令为主
【标准答案】CD
【答案解析】:本题考查的是基本的组织结构模式。图中的组织结构属于矩阵式。在矩阵组织结构中,每一项纵向和横向交汇的工作,指令来自于纵向和横向两个工作部门,因此其指令源为两个。在矩阵组织结构中,为避免纵向和横向工作部门指令矛盾对工作的影响,可以采用以纵向工作部门指令为主或以横向工作部门指令为主。参见教材P15-16。
87 根据《建设工程工程量清单计价规范》(GB50500-2013),关于企业投标报价编制原则的说,正确的有()。
A投标报价由投标人自主确定
B为了鼓励竞争,投标报价可以略低于成本
C投标人必须按照招标工程量清单填报价格
D投标人的投标报价高于招标控制价的应予废标
E投人应以施工方案、技术措施等作为投标报价计算的基本条件
【标准答案】ACDE
【答案解析】:本题考查的是投票价的编制方法。选项B:投标报价不得低于工程成本。参见教材P66。
88 下列工程建设的参建主体中,应在建设单位报送工程质量监督机构的主体结构分部工程质量验收证明上签字的单位有()
A勘察单位
B设计单位
C施工单位
D检测单位
E监理单位
【标准答案】BCE
【答案解析】:本题考查的是施工过程的质量监督,建设单位应将施工、设计、监理和建设单位各方分别签字的质量验收证明在验收后3天内报送工程质量监督机构备案。参见教材P179。
89 与施工总承包模式相比,施工总承包管理模式的主要优点有()
A业主只需要进行一次招标,招标及合同管理工作量大大减少
B合同总价不是一次确定,整个项目的合同总额确定较有依据
C分包合同都通过招标获得有竞争力的投标报价,对业主方节约投资有利
D施工总承包管理单位只收取总包管理费,不赚取总包与分包之间的差价
E多数情况下,由业主方直接与分包人签约,减少了业主方的风险
【标准答案】BCD
【答案解析】:本题考查的是施工总承包管理模式。选项A属于施工总承包的特点; 选项E应是:多数情况下,由业主方直接与分包人签约,加大了业主方的风险;而且这并不是优点。参见P222-223。
90 某钢筋混凝土基础工程,包括支模板、绑扎钢筋、浇筑混凝土三道工序,每道工序安排一个专业施工队进行,分三段施工,各工序在一个施工段上的作业时间分别为3天,2天,1天,关于其施工网络计划的说法,正确的有()

A工作1-2是关键工作
B只有1条关键路线
C工作5-6是非关键工作
D节点5的最早时间是5
E虚工作3-5是多余的
【标准答案】ABC
【答案解析】:本题考查的是施工网络计划。选项D:节点 5的最早时间是6,选项E:虚工作不是多余的,它代表第二个施工段上的支模(和第一个施工段上的扎筋)都结束之后,才能够进行第二个施工段上的扎筋工作。参见教材P131。
91 项目经理部建立施工安全生产管理制度体系时,应遵循的原则有()
A贯彻“安全第一,预防为主”的方针
B建立健全安全生产责任制度和群防群治制度
C必须符合有关法律、法规及规程的要求
D必须适用于工程施工全过程的安全管理控制
E遵循安全生产投入最小
【标准答案】ABCD
【答案解析】:本题考查的是施工安全生产管理制度体系建立的原则。E不属于其原则。见教材P191。
92 施工组织设计的编制原则包括()
A重视工程施工的目标控制
B合理部署施工现场
C提高施工的工业化程度
D提高施工的连续性和均衡性
E采用国内外最先进的施工技术
【标准答案】:ABCD
【答案解析】:本题考查的是施工组织设计的编制原则。选项E的正确说法是:积极采用国内外先进的施工技术,参见教材P27。
93 根据《建设工程施工专业分包合同(示范文本)》(GF-2003-0213),专业工程分包人应承担违约责任的情形有()
A未履行总承包合同中与分包工程有关的承包人的义务与责任
B已竣工工程未交付承包人之前,发生损坏
C未能及时办理与分包工程相关的各种证件、批件
D为施工方便,分包人直接接受发包人或工程师的指令
E经承包人允许,分包人直接致函发包人或工程师
【标准答案】:ABD
【答案解析】:
本题考查的是专业工程分包人的主要责任和义务。选项B,已竣工工程未交付承包人之前,分包人应负责已完分包工程的成品保护工作,保护期间发生损坏,分包人自费予以修复。选项C,因发包人原因未能及时办理完毕前述许可、批准或备案,由发包人承担由此增加的费用和(或)延误的工期,并支付承包人合理的利润。选项D,未经承包人允许,分包人不得以任何理由与发包人或工程师发生直接工作联系,分包人不得直接致函发包人或工程师,也不得直接接受发包人或工程师的指令。
94 下列施工质量保证体系的内容中,属于施工阶段工作保证体系的有()
A建立质量检验制度
B建立施工现场管理制度
C做好成品保护
D建立质量信息系统
E开展群众性的QC活动
【标准答案】AE
【答案解析】:本题考查的是施工质量保证体系的内容。施工阶段:必须加强工序管理,建立质量检查制度,严格实行自检、互检和专检,开展群众性的QC活动,强化过程控制,以确保施工阶段的工作质量。
95 建筑工程施工质量控制难度大的原因有()
A规范化的生产工艺
B承包的生产设备
C建筑产品的单件性
D施工生产的流动性
E复杂的工序关系
【标准答案】 CDE